| 일 | 월 | 화 | 수 | 목 | 금 | 토 |
|---|---|---|---|---|---|---|
| 1 | 2 | 3 | ||||
| 4 | 5 | 6 | 7 | 8 | 9 | 10 |
| 11 | 12 | 13 | 14 | 15 | 16 | 17 |
| 18 | 19 | 20 | 21 | 22 | 23 | 24 |
| 25 | 26 | 27 | 28 | 29 | 30 | 31 |
- Lamp
- jupyter
- image
- 논문리뷰
- 예제중심HTML&자바스크립트&CSS
- MySQL
- 소스설치
- 가비아
- Crawling
- 수동설치
- 생활코딩
- 밑바닥부터시작하는딥러닝
- CBOW
- AndroidStudio를활용한안드로이드프로그래밍
- 밑바닥부터시작하는딥러닝2
- Apache
- 머신러닝
- 컴파일설치
- aws
- 한빛미디어
- attention
- 비지도학습
- 프로그램새내기를위한자바언어프로그래밍
- 크롤링
- 셀레니움
- 한빛아카데미
- deeplearning
- 딥러닝
- Selenium
- word2vec
- Today
- Total
안녕, 세상!
SlimYOLOv3: Narrower, Faster and Better for Real-Time UAV Applications 논문리뷰 본문
SlimYOLOv3: Narrower, Faster and Better for Real-Time UAV Applications 논문리뷰
dev_Lumin 2022. 1. 7. 19:27Abstarct
- UAV의 카메라 시점에 의한 컴퓨터 비전에 관심이 많아짐
- 하지만 UAV에서의 object detection을 실시간으로 처리하는 작업은 어려움
- 마지막에는
channel scaling factor에 L1 Regulation을 적용시켜서 convolution 계층의
channel-level 희소성(sparsity)을 적용시키고 ‘slim’한 object detectors을 얻기 위해서
덜 중요한 feature channel을 제거함 - fewer trainable parameters와 FLOPS를 original YOLOv3와 비교하여 제시함
- SlimYolov3을 VisDrone2018-Det benchmark dataset으로 평가
- unpruned 놈과 비교했을 때 FLOPS가 90.8%줄어들었고, parameter크기가 92% 줄었고
running time이 2배 더 빠름

다른 pruning 비율에 대한 실험 결과는 더 작은 구조의 SlimYOLOv3가 기존 YOLOv3보다 더 효율적이고 빠르다고 일관적으로 확인해준다.

Introduction
challenging problems
(1) 어떻게 다양한 변화를 다룰것인가 (항공사진에서 객체의 시각적 외형에 대한)
(variation : illumination, view, small sizes and ration)
(2) 제한된 메모리와 computing power을 가진 기기에 어떻게 deploy 할지
(3) detection 정확도와 실시간 요구에 대한 균형을 어떻게 맞출지
주요 인기 있는 네트워크 구조
- 수동적(manually)으로 설계되었고,
- 그 구조들에서 각 구성요소의 중요성은 학습되기 전에 결정될 수 없음
- Training 과정에서 network는 학습 가능한 계층의 weigth를 조절해가면서
각 component의 중요성을 학습할 수 있음 - 결과적을 network안의 몇몇 connection과 computations들은 불필요하거나 중요하지 않는 요소들이 될 수 있고 그러므로 성능에서 큰 저하 없이 제거될 수 있다.
→ 이러한 추정으로 model pruning 방식은 모델을 단순화시키는 데 사용됨

Channel Pruning
- pruned model에 단지 구성 파일들 안의 대응되는 channel(or filter)의 개수를 수정함으로써
적용하기 편리함
fine-tuning
- 그 후에 잠재적 일시적 저하를 보충하기 위해서 pruned models에서 수행됨
→ 전문가에 의해 수동적으로 설계된 deep object detectors는 고유의 불필요한 중복성이 feature channels에 존재한다고 생각해서 parameter 크기와 FLOPS를 channel pruning으로 줄이려고 함

2. Related Work
2.1 Deep Object Detector
발전되면서 two-stage detectors와 single-stage detector로 구분됨

2-stage Detector
- Regional Proposal과 Classification이 순차적으로 이뤄짐
- Regional Proposal 진행 후 Classification 진행
- 비교적 느리지만 정확도가 높음
Regional Proposal
- 물체가 있을만한 영역을 빠르게 찾아내는 알고리즘
- ex) Selective search : 비슷한 질감, 색, 강도를 갖는 인접 픽셀로 구성된 다양한 크기의 window를 생성)
- object의 위치를 찾는 localization 문제
(기존의 sliding window의 방식은 모든 영역을 window로 탐색)
1-stage Detector
- Regional Proposal과 Classification이 동싱 이뤄짐
- ex) YOLO, SSD 계열
- 비교적 빠르지만 정확도가 낮음
2.2 Model pruning
존재하는 model compression(모델 경량화) 방식은
- model pruning
- knowledge distillation
- parameter quantization
- dynamic computation
Model Pruning

model pruning 방식에서 deep models들로부터 제거되는 components는
독립적인 neural connection 혹은 네트워크 구조들 자체가 될 수 있음
Weight Pruning
- small weights로 덜 중요한 연결을 제거함(prune)
- 개념적으로 이해하기 쉽지만, pruned model을 기억하고(store) 빠르게 하는 것이 어려움
→ 생성된 불규칙한 네트워크 구조 때문 - 기술적으로 weight pruning은 특별한 소프트웨어 라이브러리 혹은 그에 맞는 하드웨어가 pruned model을 지원하도록 설계되지 않는다면, 실제 applications에 적합하지 않을 수 있음

Structured pruning(channel pruning)
- Weight pruning과 달리 structured pruning이 더 규칙적이고 다루기 쉬운 네트워크 구조를 생성할 가능성이 높음
- structured pruning을 위한 structured unimportance를 얻기 위해서
연구원들은 structured sparsity learning을 포함하고 있는 structured sparsity regularization을 가진sparsity training과channel-wise scaling factors의 sparsity에 의지함 - network slimming - 효율적인 channel pruning방식

network slimming
batch normalization의scaling factors을channel-wise scaling factors로서 채택함- 이
scaling factors에L1 regularization을 사용하여 networks를 학습시킴 - hardware과 software에 한정되지 않고 pruned models를 실행하기 편함
3. SlimYOLOv3

- channel pruning을 YOLOv3에 적용하여 SlimYOLOv3을 얻음
- 최소한의 수정으로 deep feature을 풍부하게(enrich) 하기 위해서 spatial pyramid pooling (SPP) module을 YOLOv3에 적용한 YOLOv3-SPP3가 있음
YOLOv3-SPP3
- SPP 모듈은 kernel size가 각각 1x1, 5x5, 9x9, 13x13의 크기인 4개의 병렬 maxpool 계층으로
구성되어 있음 - SPP 모듈은 다른 receptive 영역을 가진 multiscale deep features을 추출하고
feature maps의 channel dimension크기로 연결하여 이들을 통합할 수 있음 - 같은 layer 내에서 얻은 multiscale features은 적은 computation cost로
YOLOv3의 detection 정확도를 더 개선시킬 것이라고 기대함 - SPP 모듈에서 소개된 additional feature channels은 추가적인 FLOPS를 줄이거나 refined 할 수 있음
- SPP module을 YOLOv3의 각 detection header 앞의 5번째와 6번째 convolution 계층 사이에 넣어 통합함
Sparcity training
- 모델의 channel-wise sparsity는 channel pruning과
후에 제거될 잠재력이 있는 덜 중요한 channel들의 수를 설명하는데 도움이 됨 - channel pruning을 사용하기 위해서
scaling factors을 각 channel마다 할당함 scaling factors의 절댓값이 channel의 중요도를 나타냄(denote)- detection header를 제외하고 BN layer는 YOLOv3의 각 convolution layer 후 적용

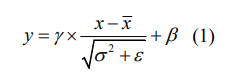
BN Layer

- $\gamma$ :
trainable scale factors - $\beta$ : bias
- ${\sigma}^2$ : mini-batch안의 input features의 variance(변화량)
- $\bar{x}$ : mini-batch안의 input features의 mean(평균)
BN Layer들 안의 trainable 한 scale factors은 channel의 중요도를 나타나는데 사용됨
L1 normarlization
- 중요하지 않는 channel들로부터 중요한 channel을 효과적으로 구분하기 위해서,
$\gamma$(trainable scale factor)에 대해서 L1 regularization을 부과함으로써
channel-wise sparsity training을 수행함

- $f(\gamma)=abs(\gamma)$ : L1-norm
- $\alpha$ : penalty factor (두 loss 사이의 간격을 균형 맞추는 요소)
Channel pruning
- $\hat{\gamma}$ : gloab threshold - feature channel이 제거될지 말지 결정
- pruning ratio를 통제하기 위해서$\hat{\gamma}$ 는 모든 $abs(\gamma)$에 대해서 n-th percentile로 설정됨
- $\pi$ : safety threshold
- convolution 계층에서의 over-pruning을 예방하고 network연결의 완전성을 유지하기 위함
- 특정 layer의 모든 $abs(\gamma)$의 k-th percentile로 층마다 설정
- $\hat{\gamma}$ 의 최소와 $\pi$ 보다 작은 scaling factors를 가진 feature channels를 제거
- maxpool layer과 upsample layer은 channel수와 연관이 없기 때문에 pruning 과정에서 버림
(안 쓴다는 의미인듯)
fine-tuning
- channel pruning 이후 잠재적 일시적 저하를 보상하기 위해서 pruned models에 수행되도록
제안됨
Iteratively pruning
- over-pruning을 방지하기 위해 incremental pruning
4. Experiments
4.1 Datasets
VisDrone2018-Det dataset consists of 7,019 static images captured by drone platforms in different
places at different height
4.2 Models
- YOLOv3-SPP1 : 수정된 YOLOv3로 첫 번 째 detector header의 앞에 SPP module이 1개
- YOLOv3보다 COCO 데이터셋에 대해서 detection accuracy가 좋음
- YOLOv3-SPP3 : YOLOv3의 3개의 detector header 앞에 5th와 6th convolution 사이 3개의 SPP module을 통합(incorporating)하여 구현됨
- SlimYOLOv3
- channel pruning module의 global threshold $\hat{\gamma}$를 모든 $abs(\gamma)$의 50%, 90%, 95%의 pruning ration를 각각 적용한 3개의 모델을 구현
- local safety threshold $\pi$는 90% 적용한 모델의 각 layer에서 경험적으로 적용
(단일 layer에 unpruned 된 channel을 최소 10% 유지하기 위해)
4.3 Training
Sparsity training
- 100 epochs의 학습 진행
- penalty factor $\alpha$에 대해 0.01, 0.001, 0.0001 세 개의 다른 값에 대해 실험

5. Results and Discussion
SPP Module의 효과


- 416x416, 608x608에 대해서 SPP3와 SPP1을 비교했을 때 detection performance가 성능 차이가 거의 안 났지만 더 큰 input인 832x832일 경우에 mAP와 F1-score에 대해서 차이가 outperforms 할 수 있는 것을 확인할 수 있음
→ SPP 모듈이 고해상도 이미지 안에서의 다른 크기의 receptive fields를 통해서 유용한 multiscale deep feature를 detectors가 추출하도록 도와준다는 것임
- SPP module이 추가되면서 trainable parameter과 FLOPS는 증가되지만 무시할 수 있는 수치
Sparsity training의 효과

→ Scaling factor의 분포의 변화와 YOLOv3-SPP3의 sparsity training 동안의 loss 그래프
- 학습 과정에서 상대적으로 작은
scaling factors의 수가 증가하는 반면
큰scaling factors의 수는 감소함 - sparsity 학습은
scaling factors값을 효율적으로 줄일 수 있고 convolution layers의 feature channel을 부족하게 만듦 - $\alpha=0.01$ 인 경우
scaling factors을 너무 급하게 감소시켜서 모델이 underfitting으로 돼버림 - 실험에서는 $\alpha=0.001$ 로 진행

channel pruning의 효과

- FLOPS와 parameter size를 줄임